各单位、各部门及全体同学:
为保证2025-2026学年第一学期期末考试工作的有序进行,现将有关事项通知如下:
一、期末考试安排
1.本学期2024级学生上课至第12周结束,第13周进行考试课程的期末考试。
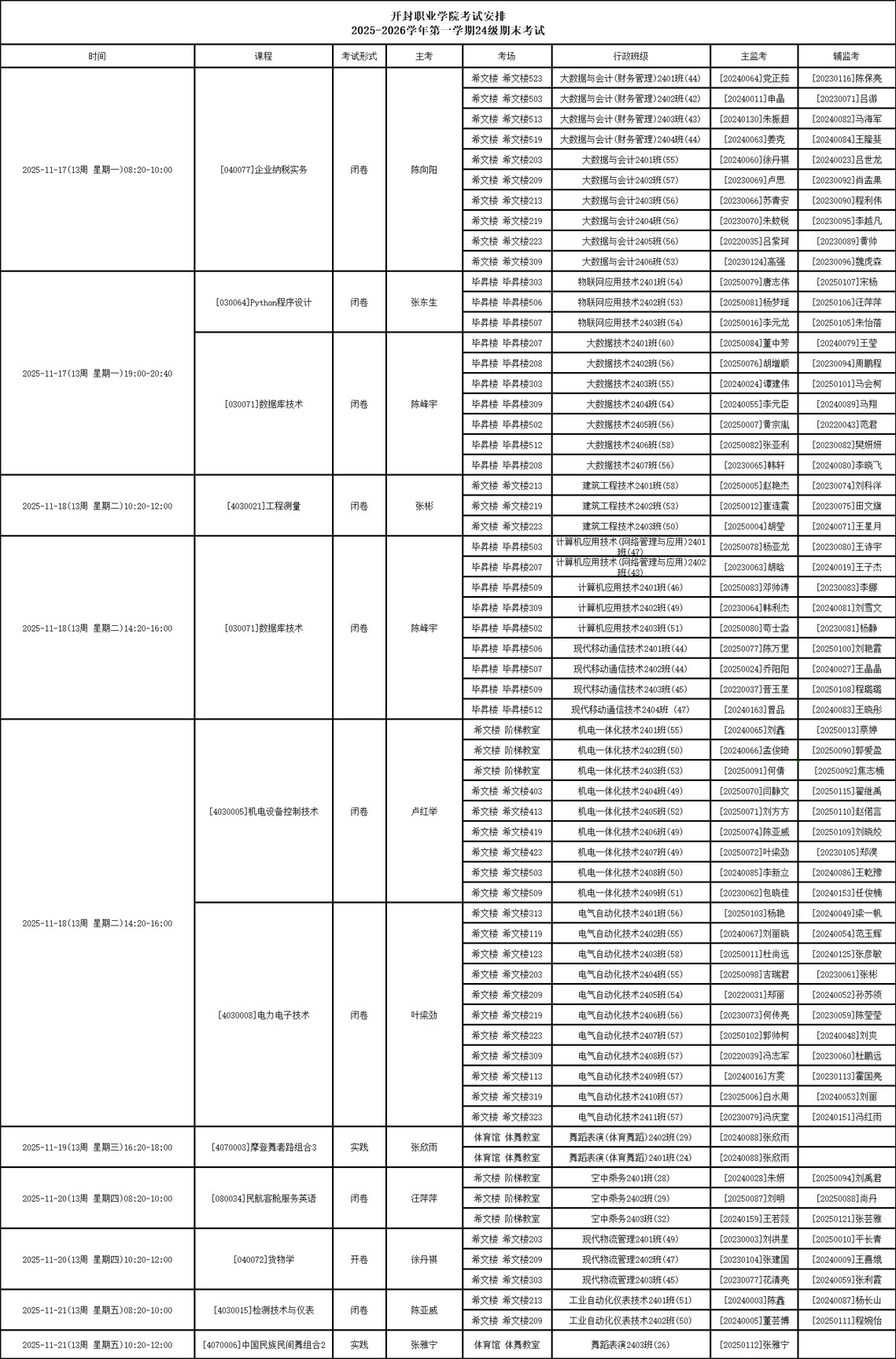
2.学校统一安排如下(详见附件),其余课程由各学院安排。


二、学生注意事项
1.学生应携带有效证件(身份证、学生证)提前15分钟到达指定考场,按规定就座。迟到30分钟以上的学生,不得参加考试,作缺考处理。
2.学生参加闭卷考试只准携带规定的文具用品入座,开卷考试只准携带考试规定的书籍、笔记和文具用品等入座。其它任何书籍、笔记等均须放在监考人员指定的位置。
三、监考工作要求
1.请各位监考老师查看期末考试监考安排,佩戴工作证按照指定的考场和时间参加监考。
2.期末考试监考老师2在考前30分钟到教务处(毕昇楼419)领取试卷,考试结束后将试卷、考场记录单送至课程主考相应的办公室。所有监考老师均应提前进入考场,严格按照监考程序工作。
3.黑板板书要求(考试科目、考试时间、试卷页数及监考老师姓名)。
考试科目:____________________座位安排表
考试时间:____________________
试卷页数:____________________
监考教师:____________________
4.考试结束前,监考教师将缺考考生的班级、姓名、学号填入考场记录单对应位置,以班级为单位,按学生学号小号在上大号在下的顺序整理好试卷(含缺考考生试卷)。
5.考试期间老师不得私自调换监考,特殊情况请联系教务处。
四、巡考工作要求
巡考重点内容:监考人员是否按照监考程序工作,如是否按时到场,是否佩戴工作证,是否彻底清场,是否履行岗位职责、坚守岗位、认真监考;是否将与考试无关的物品放到指定地点。
五、考情通报工作
根据实际情况择时通报考情情况,加强对期末考试的实时规范管理,避免问题的再次发生,严明监考纪律,营造文明考试、诚信考试的良好氛围,确保期末考试工作顺利进行。
2.2024级智能制造学院、文化旅游学院信息技术考试安排表.xlsx
教务处
2025年11月12日
